Immigration Policy Lab - Home
  • Home
  • About Us
    • Mission
    • Our Team
    • Training & Opportunities
    • Partners and Funders
    • Contact Us
  • Projects
    • Refugees and Displacement
    • Migration and Development
    • Citizenship
    • Immigrant Health
    • Access to Services
    • Discrimination
  • Innovation
    • GeoMatch: Home
    • Tweet Tracker
    • IPL Integration Index
    • WhatsApp Surveys
  • News & Views
    • News & Views
    • Migration Seminar
    • Origin Stories Podcast
  • Publications
    • Articles & Books
    • Working Paper Series
    • Null Results
Immigration Policy Lab - Home
  • Home
  • About Us
    • Mission
    • Our Team
    • Training & Opportunities
    • Partners and Funders
    • Contact Us
  • Projects
    • Refugees and Displacement
    • Migration and Development
    • Citizenship
    • Immigrant Health
    • Access to Services
    • Discrimination
  • Innovation
    • GeoMatch: Home
    • Tweet Tracker
    • IPL Integration Index
    • WhatsApp Surveys
  • News & Views
    • News & Views
    • Migration Seminar
    • Origin Stories Podcast
  • Publications
    • Articles & Books
    • Working Paper Series
    • Null Results
  • Home
  • Project
  • Migration and Development
  • How Ethnic Networks Shape Refugee Integration
  • results web

results web

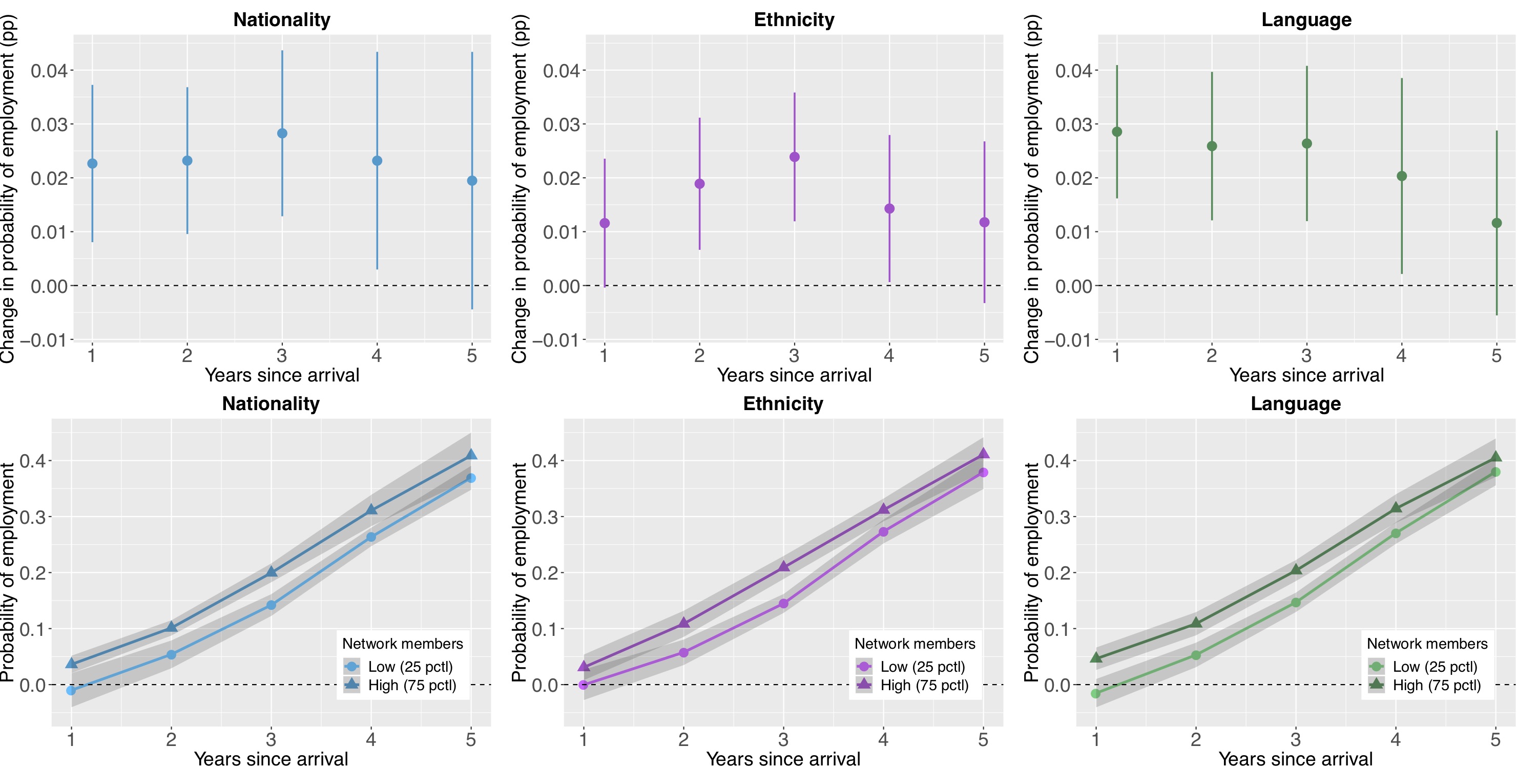
How Ethnic Networks Shape Refugee Integration
Stay Connected with IPL
 
Immigration Policy Lab
  • Home
  • About Us
  • Projects
  • News & Views
  • Publications
  • Contact Us
Stanford logo

Copyright 2023. All Rights Reserved

Website design and development by GoodFolk

Accessibility

ETH Zurich logo

Jeremy Weinstein

Faculty Affiliate

Jeremy Weinstein

Email: jeremy_weinstein@hks.harvard.edu

About

Jeremy Weinstein is Dean and Don K. Price Professor of Public Policy at Harvard Kennedy School. Prior to joining the Kennedy School, he was he was the Kleinheinz Professor of International Studies at Stanford University, Senior Fellow at the Freeman Spogli Institute for International Studies, Sakurako and William Fisher Family Director of the Stanford Global Studies Division, and Ford-Dorsey Director of African Studies at Stanford University. He is also a non-resident fellow at the Center for Global Development in Washington, D.C.

His research focuses on civil wars and political violence; ethnic politics and the political economy of development; and democracy, accountability, and political change. He is the author of Inside Rebellion: The Politics of Insurgent Violence (Cambridge University Press), which received the William Riker Prize for the best book on political economy. He is also the co-author of Coethnicity: Diversity and the Dilemmas of Collective Action (Russell Sage Foundation), which received the Gregory Luebbert Award for the best book in comparative politics. He has published articles in the American Political Science Review, American Journal of Political Science, Annual Review of Political Science, Journal of Conflict Resolution, Foreign Affairs, Foreign Policy, Journal of Democracy, World Policy Journal, and the SAIS Review.

Weinstein received the International Studies Association’s Karl Deutsch Award in 2013. The award is given to a scholar younger than 40 or within 10 years of earning a Ph.D. who has made the most significant contribution to the study of international relations. He also received the Dean’s Award for Distinguished Teaching at Stanford in 2007.

Download CV

Experience

Weinstein served as Director for Development and Democracy on the National Security Council staff at the White House between 2009 and 2011. In this capacity, he played a key role in the National Security Council’s work on global development, democracy and human rights, and anti-corruption, with a global portfolio. Among other issues, Weinstein was centrally involved in the development of President Obama’s Policy Directive on Global Development and associated efforts to reform and strengthen USAID, promote economic growth, and increase the effectiveness of U.S. foreign assistance across the board; led efforts at the White House to develop a robust international anti-corruption agenda, which included the creation of the G-20 Action Plan on Anti-Corruption, the design and launch of the Open Government Partnership, and the successful legislative passage and internationalization of a ground-breaking extractive industries disclosure requirement; and played a significant role in developing the Administration’s policy in response to the Arab Spring, including focused work on Egypt, Tunisia, Bahrain, Syria, Yemen, and others. Before joining the White House staff, Weinstein served as an advisor to the Obama campaign and, during the transition, as a member of the National Security Policy Working Group and the Foreign Assistance Agency Review Team.

Weinstein obtained a BA with high honors from Swarthmore College, and an MA and PhD in political economy and government from Harvard University. He is a member of the Council on Foreign Relations and serves on a number of non-profit boards including Global Integrity, the International Budget Partnership, and MySociety.

Jens Hainmueller

Faculty Co-Director

Jens Hainmueller

Email: jhain@stanford.edu

About

Jens Hainmueller is the Kimberly Glenn Professor in Political Science and Director of Graduate Studies of the Department of Political Science at Stanford University. He is the Faculty Co-Director of the Stanford Immigration Policy Lab that is focused on the design and evaluation of immigration and integration policies and programs. His research interests include statistical methods, causal inference, immigration, and political economy. He has published over 65 articles that have been cited more than 27,000 times, many of them in top general science journals and top field journals in political science, statistics, economics, and business. His statistical methods are used by organizations to conduct causal inferences in various settings. He has also published multiple open source software packages. His research has received funding from organizations such as Schmidt Futures, the Robin Hood Foundation, the Robert Wood Johnson Foundation, the National Science Foundation, the National Institute of Health, and the National Bureau of Economic Research. His research has won various awards including the Gosnell Prize for Excellence in Political Methodology, the Warren Miller Prize, the Robert H. Durr award, and the Emerging Scholar award by the Society of Political Methodology. He was selected as an Andrew Carnegie Fellow and inducted as a Fellow of the Society of Political Methodology. He has received an honorary degree from the European University Institute (EUI).

Hainmueller received his PhD from Harvard University and also studied at the London School of Economics, Brown University, and the University of Tuebingen. Before joining Stanford, he served on the faculty of the Massachusetts Institute of Technology.

Download CV

Experience

Hainmueller has worked with governments and NGOs around the world to design and evaluate policies involving immigrants and refugees. He received his PhD from Harvard University and also studied at the London School of Economics, Brown University, and the University of Tübingen. Before joining Stanford, he served on the faculty of the Massachusetts Institute of Technology.

Dominik Hangartner

Faculty Co-Director

Dominik Hangartner

Email: dominik.hangartner@gess.ethz.ch

About

Dominik Hangartner is a professor of public policy at ETH Zurich and faculty co-director of the Immigration Policy Lab.

After pre-doctoral fellowships at Harvard University, Washington University in Saint Louis, and the University of California, Berkeley, Dominik received his Ph.D. in social science from the University of Bern in 2011. In the same year, he joined the London School of Economics as an assistant professor. He was promoted to tenured associate professor in 2013, before joining ETH in 2017.

Dominik uses field work and statistics to study the effects of migration policies and political institutions. His work has been published in leading scholarly journals such as the American Journal of Political Science, the American Political Science Review, Proceedings of the National Academy of Sciences, Science and Nature, and has received several awards including the Philip Leverhulme Prize and the Swiss Science Prize Latsis.

Download CV

Michael Hotard

GeoMatch Director

Michael Hotard

Email: mhotard@stanford.edu

About

Michael manages the GeoMatch research program, which features government collaborations to test and implement the IPL matching algorithm across diverse contexts and applications. As the director, he leads strategic partnerships, policy engagement, and research administration. He is passionate about data-driven policy and building an evidence base for social programs that work.

He is a graduate of the Stevenson Center at Illinois State University, served as a Peace Corps volunteer in Kazakhstan, and has worked in program management for the U.S. Department of Labor.

Kirk Bansak

Faculty Affiliate

Kirk Bansak

Email: kbansak@berkeley.edu
Website: www.kirkbansak.com

About

Kirk is an assistant professor in the Department of Political Science at UC Berkeley. He is a faculty affiliate of the Immigration Policy Lab, as well as a faculty affiliate of the Berkeley Interdisciplinary Migration Initiative.

In addition to immigration policy, Kirk’s research interests are in causal inference, experimental design and analysis, survey methodology, political economy, and computational social science. His research has appeared or is forthcoming in Science, Political Analysis, Journal of Politics, Statistical Science, Political Science Research and Methods, Nature Human Behavior, and Journal of the Royal Statistical Society: Series A. He holds a Ph.D. in political science and M.S. in statistics from Stanford, an M.A.L.D. from the Fletcher School (Tufts), and a B.A. in anthropology from Harvard University.

Jeremy Ferwerda

Faculty Affiliate

Jeremy Ferwerda

Email: jeremy.a.ferwerda@dartmouth.edu

About

Jeremy’s current research addresses issues of decentralization and immigration, with a regional focus on Europe. In his dissertation and book project, he investigates the consequences of devolving control over redistributive policy to local governments. His work has appeared in the American Political Science Review and Electoral Studies.

Jeremy received his Ph.D. in political science from the Massachusetts Institute of Technology in September 2015. Before graduate school, he attended Cornell University and worked at the hedge fund D.E. Shaw & Co.

Download CV

Elisabeth Paulson

Faculty Affiliate

Elisabeth Paulson

Email: epaulson@hbs.edu

About

Elisabeth is an assistant professor in the Technology and Operations Management unit at Harvard Business School. She is a faculty affiliate at the Immigration Policy Lab, where she works on analytics and algorithmic advances to support the GeoMatch portfolio. In general, her research seeks to improve the effectiveness and equity of interventions for social good. Elisabeth holds a PhD in operations research from MIT and an M.A. in math, B.S. in math, and B.S. in statistics from the Pennsylvania State University.

Amor Ai

Predoctoral Fellow

Amor Ai

Email: amorai@stanford.edu

About

Amor Ai (she/they) is an IRiSS Predoctoral Fellow at the Immigration Policy Lab, assisting with research associated with the GeoMatch program. Her responsibilities include designing and analyzing surveys on immigration location preferences, creating usability and explainability documentation for the tool, and working closely with other IPL staff to improve the machine learning models used by GeoMatch.

Amor received Bachelor’s degrees in statistics and psychology from Carnegie Mellon University, where her research interests have broadly included decision-making, stereotype threat, and designing psychologically wise interventions. Prior to joining IPL, she also conducted research in sports analytics and worked as a data scientist for the Pittsburgh Pirates.

Angie Delevoye

Senior Data Scientist

Angie Delevoye

Email: adelevoye@gmail.com

About

Angie is the data scientist for the GeoMatch research program. She works with governments and the IPL team to process the data and implement the GeoMatch algorithm according to each partner organization’s needs and priorities.

She received her PhD in Political Science from Yale University, where part of her research focused on the role information, data and evidence play in policymaking processes.

Angie earned her Bachelor of Arts and Master of Arts in Public Affairs from Sciences Po Paris. She then worked with various French public entities as a consultant while earning a Master of Science in Management from ESSEC Business School. She previously worked as an economic and financial attachée for the French Treasury in the United States. Angie loves to play and watch sports, wrote her PhD dissertation on the WNBA’s political activism (Go Storm!) and never turns down an outdoor activity, board game or wine night.

Bryn Hastings

Designer

Bryn Hastings

About

Bryn is a designer on the GeoMatch team, where she addresses any and all design needs—from the details of interface layouts, to information design and presentation refinement, to overarching brand strategy. As a lifelong creative, Bryn finds beauty in using design as a tool to distill truth, tell stories, and communicate purpose. Bryn received her Bachelor of Science in Design from the University of Cincinnati, at the College of Design, Architecture, Art, and Planning (DAAP). She has worked across a variety of projects and fields, with clients ranging from startups to boutique brands to Fortune 100s. When she’s not sitting cross-legged in her office chair, Bryn can be found painting, writing, knitting, and wandering around local parks. Her home is full of plants, and a curious gray cat named Bartholomew.

Eric Freeman

Data Scientist

Eric Freeman

Email: ericff@stanford.edu

About

Eric joined GeoMatch as a Data Scientist in April 2024 and is working on training, testing and adapting the GeoMatch algorithm, as well as the data processing needed.

Eric has a Ph.D. in Mathematics from the University of Michigan, a Ph.D. in economics and an M.A. in statistics from the University of California at Berkeley. He has worked as a postdoctoral fellow at the University of Colorado, the Institute for Advanced Study, and was an assistant professor at Carleton University in Ottawa. He enjoys playing ultimate frisbee, biking, and following the latest news about the economy.

Uday Jarajapu

Software Engineer

Uday Jarajapu

Email: udayj@stanford.edu

About

Uday joined IPL as a software engineer for GeoMatch in September 2024. He works with the rest of the IPL team to develop software that is easy to use and maintain.

Uday earned his Masters in Engineering from University of Toledo. He previously spent a decade working on the Maps team at Apple and the Relational Databases team at AWS as an engineer. Prior to that, he spent a decade working at various startups in Silicon Valley, most notably Trulia (now Zillow) and OPOWER (now Oracle). When not at a computer, Uday enjoys hiking, reading, making music and writing.

Anand Kalvit

Postdoctoral Fellow

Anand Kalvit

Email: akalvit@stanford.edu

About

Anand Kalvit joined the Immigration Policy Lab in June 2023 as a postdoctoral fellow with the GeoMatch team. He holds a PhD in Decision, Risk, and Operations from Columbia University, New York, and a Bachelor’s and Master’s in Electrical Engineering from IIT Bombay, India. His research explores algorithmic and statistical principles for sequential decision making under parameter uncertainty in large markets. At IPL, he is working on data-driven algorithmic assignment of refugees and related aspects of their resettlement.

Michael Maurer

Senior Software Engineer

Michael Maurer

Email: mmaurer7@stanford.edu

About

Michael joined IPL as a software engineer on the GeoMatch project in November 2021. He works with governments and the IPL team to develop software that is easy to use, easy to manage, and considerate of each organization’s needs.

Michael earned his Bachelor of Science in computer science from the Georgia Institute of Technology. He previously worked on the Drive team at Google as an engineer and on various websites as a freelance developer. He has been involved with after-school education as a tutor and mentor for 15 years, often with a focus on technology and coding. When not at a computer, Michael can often be found biking, playing guitar, synthesizing sounds, getting tangled in audio and computer cables, and cooking plant-based meals.

Jennie Saxon

Program Manager

Jennie Saxon

Email: jsaxon@stanford.edu

About

Jennie provides project management support to the GeoMatch team, coordinating the day-to-day operational details of the program’s research portfolio and related initiatives. As program associate, she helps to ensure the timely implementation of partner projects, manages various research protocols and data agreements, helps to build and maintain partner relationships, and supports the development of new areas for innovation and collaboration.

Jennie has a Master of Arts in international relations from American University’s School of International Service and a professional certificate in international migration studies from Georgetown University. She comes to IPL with a passion for refugee protection and extensive experience as a public relations and corporate communications professional. In her previous work, she led communications efforts for a variety of organizations across multiple industries, including Mindbody, the National Academies, the International Spy Museum, and Mount Vernon. Jennie loves to travel and, as an avid lifelong learner, is currently a student of the University of London’s Refugee Protection and Forced Migration Studies program.

George Wood

Data Scientist

Email: georgewood@stanford.edu

About

George is a data scientist at the Immigration Policy Lab at Stanford, where he works on the GeoMatch research program. Before joining IPL, George was Moore-Sloan Faculty Fellow in the Center for Data Science at New York University and a postdoctoral fellow at Yale University and Northwestern University. His background lies in evaluating the causal effects of policy interventions, particularly in settings where it is difficult to perform randomized experiments. He previously worked on interventions to reduce gun violence, police misconduct, and discrimination in the criminal legal system.

George holds a DPhil from the University of Oxford.

Ashwin Ramaswami

Research Affiliate, GeoMatch
Stanford University

Ashwin Ramaswami

Email: ashwin99@stanford.edu

About

Ashwin Ramaswami is a research affiliate at the Immigration Policy Lab, where he helps with the technical implementation and design of the GeoMatch tool. He also works on web application architecture and technology law and policy. He holds a BS in computer science from Stanford University and is currently pursuing a JD at Georgetown Law.

Our Spring Sale Has Started

You can see how this popup was set up in our step-by-step guide: https://wppopupmaker.com/guides/auto-opening-announcement-popups/